Guide to Minimizing Compression Ignition Hazards

Guide to Minimizing Compression Ignition Hazards

Dates:

In this article, Georges Melhem, Ph.D., FAIChE, discusses a compression ignition incident that occurred during a plant shutdown when an ethylene pipeline ruptured, sending flames several hundred feet into the air, and ways to minimize the hazards.

A section of an ethylene pipeline at 1500 psig was taken out of service for cleaning / maintenance. The repaired section was purged with nitrogen prior to re-introduction of ethylene. Some time later, the pipeline ruptured a few hundred yards from the repaired section, and flames shot out several hundred feet into the air. What happened can be attributed to what is called “compression ignition”. In this case, the compression caused the decomposition of ethylene.

Nitrogen was compressed by the rapid introduction of high-pressure ethylene ('100:1 ratio). The compression raised the temperature of the ethylene and nitrogen to the decomposition temperature of ethylene. The ethylene decomposition flame propagated slowly along the pipe until it met the main flow. The flame stabilized at that point and heated the pipe wall to a temperature sufficient to weaken and rupture the pipe.

This incident could have been avoided by slowly reintroducing the ethylene to prevent compression heating and to allow for heat exchange between the two fluids and the pipe wall and surroundings. A flame arrester could have also prevented the propagation of the decomposition flame.


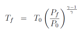
The compressed gas temperature can easily be estimated using ideal gas behavior or by using computational tools like Process Safety Office® SuperChems® Expert to account for the non-ideal behavior of the fluids and all the heat exchange mechanisms.


Assuming ideal behavior and adiabatic (isentropic) compression, the final compressed gas temperature becomes:

Calculation

Table 1 illustrates typical compressed temperature values for air and isobutane. We note that the autoignition temperature for most hydrocarbons is less than 530 °C.

Table 1: Compressed Temperature as a function of pressure
Table 1: Compressed Temperature as a function of pressure



Compression ignition hazards can be minimized. Special care is recommended where inert gas compression is possible with ethylene service. Flammable vapors should be kept out of compressor intakes, and air should be kept out of hydrocarbon vapors compressors. High-pressure oxygen systems require special care.

ioMosaic Software Tools

SuperChems® Expert is a very useful and reliable dynamic simulation software that can provide insight into compression heating for simple and complex systems with chemical reactions and/or non-ideal behavior. Features and benefits include:

  • Simple and complex flow dynamics, pressure relief systems and vent containment design, chemical reactivity management, facility siting, quantitative risk assessment (QRA), and consequence analysis
  • Integrated platform enhances execution efficiency (less data transfer across different modeling tools) and reduces errors
  • Wizards for beginners and non-expert users
  • Piping isometrics made simple with Microsoft™ Visio® interface

When the introduction of mass and energy into the receiver vessel occurs rapidly, heat exchange between the fluid, vessel walls, and the surroundings becomes negligible. This can lead to high fluid temperatures that may cause material of construction problems, and/or cause the decomposition of chemicals or mixtures containing ethylene or other reactive components. Slower introduction of mass and energy into the receiver allows for more heat exchange with the vessel walls and surroundings, resulting in lower peak fluid temperatures.

Conducting Incident Investigations

Most companies do not often experience serious incidents, and in-house safety personnel may not have acquired the skill set to effectively conduct an incident investigation. The investigation of fires, explosions, and toxic substance releases generally requires expertise in a variety of technical disciplines. In addition to an understanding of the nature, causes, and effects of such events, expertise in structural analysis, statistical analysis, analytical chemistry, thermodynamics, reaction kinetics, chemical processing, and heat transfer is often required.

We Can Help

ioMosaic has been retained by insurance companies, industry representatives, and attorneys to investigate many incidents to determine the most probable cause given the available information. We have the flexibility, resources, and capabilities to determine probable cause and how to reduce and manage episodic risk. Call us today 1.844.ioMosaic or send us a note. We'd love to help.